01 研究背景
据预测,半导体立方砷化硼(c-BAs)在室温下的载流子迁移率为1400 cm2 V-1 s-1,空穴载流子迁移率为2100 cm2 V-1 s-1。如此高的载流子迁移率是由于弱的电子-声子相互作用和小的有效质量共同作用的结果。与那些预测c-BAs热导率的计算一样,这些计算是基于具有高晶体质量和非常低的杂质水平的无缺陷c-Bas得到的。同时具有较高的导热系数和载流子迁移率的c-BAs材料在电子学和光电子学等领域具有广阔的应用前景。尽管有这种潜力,但高迁移率目前还没有得到实验验证。
02 研究问题
利用泵浦探测瞬变反射率显微镜,本文监测了光激载流子在单晶c-BAs中的扩散,得到了它们的迁移率。使用近带隙600纳米泵脉冲,本文得到了1550±120 cm2 V-1 s-1的高的双极迁移率,这与理论预测一致。在同一位置使用400纳米泵进行的其他实验显示,每伏秒的迁移率>3000 cm2,本文将其归因于超热电子。本文观察到高载流子迁移率以及高导热系数使得c-BAs在高性能电子和光电子学中的大量器件应用成为可能。
03 图文介绍
▲图 1 |在角(111)刻面上表征c-BAs单晶(样品1)。
要点: 本文用与先前报道的相同的晶种的化学气相沉积技术生长了c-BAs单晶。这些晶体通常表现为具有(111)顶部和底部表面的板坯。本文使用扫描电子显微镜对标记为样品1的生长的c-BAs平板的角面(111)进行成像(图1A)。这个面是八个等价的(111)面之一,本文选择它来测量迁移率是因为它的质量相对较高,可以从x射线衍射图案(图1B和插图)中尖锐的(0.02°)特征峰观察到,也能在拉曼光谱(图1C和插图)中700 cm−1处的窄(0.6 cm−1)纵向光学(LO)声子峰,以及在PL谱(图1D)中720 nm处的特征带隙光致发光(PL)峰中观察到。图1D插图中所示的PL映射也证明了(111)表面(10)上的均匀晶体质量。
▲图 2 |瞬态反射显微成像和在c-BAs中的载流子扩散。
要点:
本文将飞秒泵浦脉冲聚焦到c-BAs上以光激发电子和空穴,还使用更大面积(直径6μm)的延时探测脉冲来监测激发载流子在空间和时间上的扩散(图2A)。随后,本文通过爱因斯坦关系式D/kBT=μ/e从扩散系数D得到了双极迁移率,其中kB是玻尔兹曼常数,T是温度,μ是迁移率,e是基本电荷。双极迁移率由μa=2μeμh/(μe+μh)给出,其中μe和μh分别是电子和空穴迁移率的数值。
由于c-BAs具有类似于硅的电子能带结构,间接带隙在1.82-2.02 eV的范围内,本文选择了600 nm的泵浦脉冲和800 nm的探测脉冲来避免热载流子的产生。图2B中的二维扩散图像显示了载流子在10 ps以上的扩展,图2C中显示了典型的时间分辨反射率作为泵浦和探测器之间的时间延迟的函数。由于反射率随着晶格温度的升高而增加,因此突然出现负的差值反射率表明电子贡献占主导地位。
图2B中的分布扩散反映了光激电子和空穴在空间和时间上的扩散,它们可以用高斯函数很好地进行拟合(图2D)。载流子分布的方差σ2的变化如图2E所示。随着时间延迟的增加,方差的线性增加是扩散的显著特征,并且可以使用公式σt2=σ02+αDt从斜率计算出扩散系数D,其中α是取决于系统的尺寸和检测配置的常量。
▲图 3 |载体在样品2的横截面表面上扩散。
要点:
1. 考虑到c-BAs的性质即使在单晶内也不是均匀的,特别是在垂直于(111)面的方向上。本文测试了一个相对较薄(30 μm厚)的晶体的横截面,标记为样品2(12)(图2)。S1)。图3A的插图中示出了样品2侧壁的光学图像。本文获得了距离边缘不同距离的几个光斑的光致发光光谱(图3A)。光致发光强度随着距离边缘距离的减小而增大,并在到达(111)面时出现明显的跃迁,这与本文以前发现的单晶片从一个面到另一个面的光致发光的剧烈变化是一致的。
2. 相同位置的相应拉曼光谱如图3B及其插图所示。与光致发光结果类似,(111)面的拉曼光谱与侧壁的拉曼光谱有很大的不同。本文从边缘选择了一个光点~11μm(图3A,插图中的虚圆),并使用三个泵浦通量来产生不同的载流子密度,其反射率分布如图3C和D所示。
3. 本文还绘制了方差的演化图,得到了~1300 cm2 V−1 s−1(图3E)的双极迁移率,表明由于俄歇复合等非线性效应,载流子密度对样品2的迁移率的影响可以忽略不计。
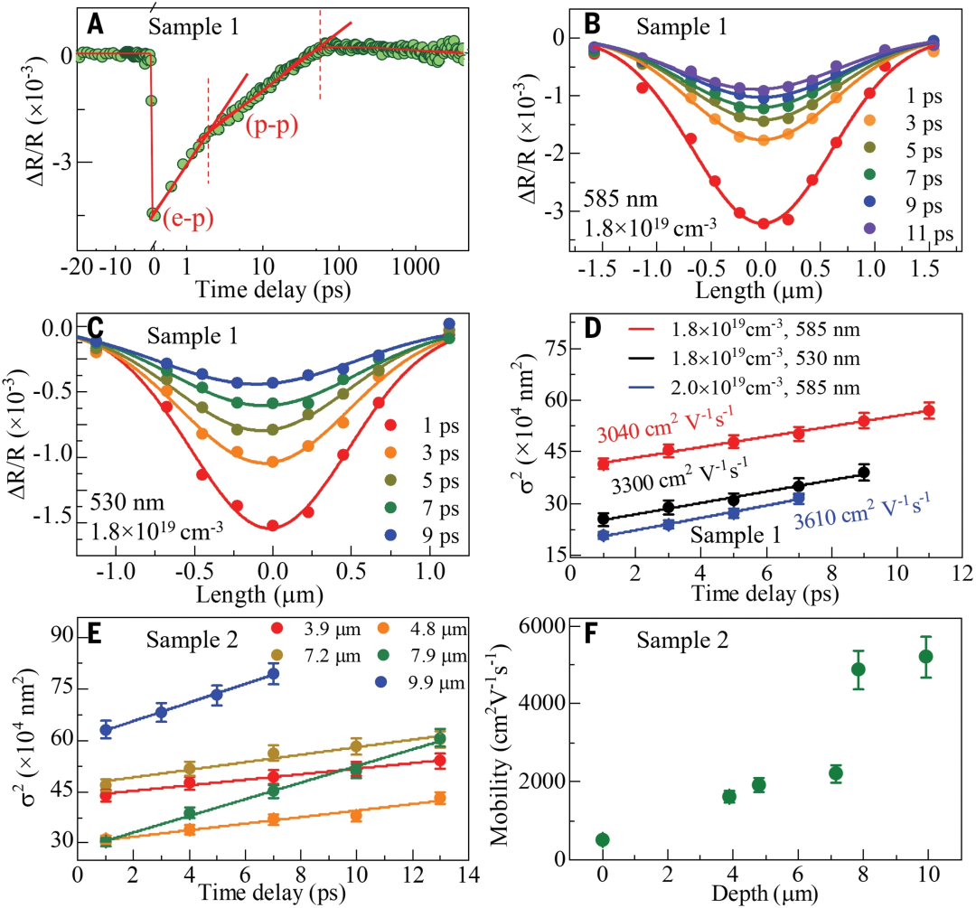
▲图 4 |使用400 nm泵浦和585或530 nm探头测量的瞬时反射率显微镜和载流子扩散。
要点:
1.c-BAs的高载流子迁移率是由于其独特的弱电子-声子相互作用和声子-声子散射共同作用而实现的,这能够产生高迁移率的热载流子。为了证明这一点,本文使用400 nm的脉冲作为泵浦,并用滤光器从白光连续光束中选择特定的波段(585或530 nm)作为探测脉冲。图4A显示了样品1的探头(585 nm)的典型瞬时反射率曲线。与之前在600 nm泵浦(图2C)激发下观察到的单指数衰减相反,由400 nm泵浦激发的光激发载流子的动力学由三个指数衰减组成:寿命约为1 ps的快速指数衰减、约20 ps的慢衰减以及约1 ns量级的更慢的衰减。这些衰变分别对应于高能光激发载流子的快速弛豫、载流子在导带和价带边缘的进一步驰豫以及晶格加热和电子和空穴在能带边缘的复合。这与理论预测相一致。
2. 为了得到样品1中载流子的扩散系数,本文使用了一种更简单的方法,即沿一个方向改变聚焦泵浦光束和探测光束之间的相对位移。本文绘制了探测波长为530和585 nm(图4B和C)时1 ps后反射率的空间分布,得到了双极扩散系数为80 cm2 s−1,双极迁移率为~3200 cm2 V−1 s−1(图4D)。从样品1的图2所示的同一点获得了~3600 cm2 V−1 s−1的迁移率。这些值远远大于预测的1680 cm2 V−1 s−1的双极迁移率。
3. 使用相同的400 nm泵浦,本文还测量了样品2在对应于图3A和B所示的六个位置的双极迁移率。这些点上载流子分布的方差的变化如图4E和F所示。在1 ps处的方差初值的差异是由于每次测量中泵浦光束和探测光束的光斑大小不同造成的。侧壁上的迁移率明显变化很大,在9.9 cm2 V−1 s−1处观察到最高的迁移率(5200±600 cm2 V−1 s−1)。虽然局部应变可以导致如此显著的载流子迁移率增强,但本文没有看到这些位置之间有任何明显的拉曼偏移(图3B)。
04 小结
本文表明,c-BAs中的p型掺杂可以显著降低其迁移率。这种朝着(111)面逐渐增加的掺杂水平进一步受到相应增加的发光强度的支持。p型掺杂将导致载流子迁移率降低,这是因为存在电离掺杂(这些掺杂剂已经被激活),并且电子迁移率低于空穴迁移率,因为少数载流子将主导载流子动力学。本文观察到p型硅中的双极迁移率比未掺杂硅中的高,这支持了后一种观点。由于热载流子也可以通过电注入和低强度光产生,因此热载流子和完全弛豫载流子都可以结合带边载流子的高迁移率用于高速光电子器件和高效太阳能电池。

暂无评论
发表评论