
第一作者:Lichen Bai, Chia-Shuo Hsu
通讯作者:陈浩铭,胡喜乐
通讯单位:国立台湾大学,洛桑联邦理工学院
论文DOI:https://doi.org/10.1038/s41560-021-00925-3
01【文章亮点】
1.尽管科学界现在已经确定含有 Co、Fe 或 Ni 的混合金属氧化物是碱性介质中最活跃的非均相 OER 催化剂,然而,这些金属氧化物的异质性使得研究和理解这些催化剂的基本性质和机理变得困难。
2. 在这项工作中,作者通过原位电化学转化首次实现了从单原子前体合成含钴、铁和镍的双原子催化剂。
3. 此外,作者首次证明了,最合理的 O-O 键形成步骤似乎是 OH- 对 M(IV)=O 单元的亲核攻击。然而,根据金属离子的性质和它们的配位环境,以及 M 的身份,在每一步中转移的质子和电子的数量,以及 OH− 的来源,都会有所不同。这些微妙之处源于不同金属离子的不同氧化还原电位和路易斯酸度,尤其是当它们与不同的配体配位时。与单原子催化剂相比,双原子催化剂的活性要高得多,这是双金属协同作用的结果。
4. 从催化反应角度,双原子的精确协同调控在电催化应用中仍存在大量待挖掘的领域并且具有广泛的前景,例如更多不同双金属甚至多金属原子间的协同效应,值得进一步的关注和研究。
02【全文速览】
析氧反应 (OER) 是通过水分解或 CO2 电还原产生燃料的重要阳极反应。含有 Co、Fe 或 Ni 的混合金属氧化物已被证明是碱性介质中最高效的 OER 电催化剂。然而,由于它们的多相性质,这些催化剂的活性位点和反应机理仍未被阐明清楚。
在这里,我们通过原位电化学转化实现了从单原子前体合成含钴、铁和镍的双原子催化剂。原位表征揭示了这些负载型催化剂的双金属活性位点。对于每种催化剂,作者提出了相应的催化循环路径,并发现了双金属协同,且遵循一个相似的 O-O 键形成步骤。但是,形成 O-O 键的 OH− 的位置和来源以及质子和电子转移的顺序是不同的。该工作证明了双原子催化剂是非均相 OER 电催化剂基础研究的有吸引力的平台。
03【前言导读】
OER 是一种重要的电化学阳极反应,可为产生燃料的阴极反应(如析氢反应和 CO2 还原反应)提供质子和电子。然而,OER 动力学缓慢并导致大量的过电位损失。在开发高效的 OER 电催化剂方面,科学界已经做出了巨大的努力。现在已经确定含有 Co、Fe 或 Ni 的混合金属氧化物是碱性介质中最活跃的非均相 OER 催化剂。然而,这些金属氧化物的异质性使得研究和理解这些催化剂的基本性质和机理变得困难。
目前,包括单原子催化剂和离散亚纳米簇在内的原子分散催化剂是一类新兴的具有高原子效率的非均相电催化剂。这些催化剂具有均匀且明确的活性位点,为机理理解提供了独特的机会。尽管最近报道了一些原子分散的 OER 催化剂,但它们在 OER 过程中的活性位点的结构仍不清楚。
04【图文速读】

图 1:双原子催化剂和单原子预催化剂的电化学OER性能。

图 2:Ni-Fe-N-C 的 Operando XAS 研究。

图 3:双原子的结构演化和氧化态变化。

图 4:Ni-Fe-N-C 的Operando HERFD-XAS 实验。

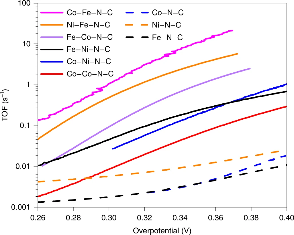
图 5:不同催化剂的电势相关TOF。

图 6:a,Ni-Fe-N-C, b,Fe-Ni-N-C, c,Fe-Co-N-C双原子催化剂上合理的 OER反应机制。
05【结论与展望】
结果表明,作者利用单原子预催化剂的原位电化学转化,开发了一种以氮掺杂碳为载体的双原子电催化剂的通用合成方法。该合成提供了六种类似的含有 Co、Fe 或 Ni 的双金属催化剂。这些催化剂的原子分散性由原子分辨率 TEM 和 XAS 证实。
在所有催化剂上,最合理的 O-O 键形成步骤似乎是 OH- 对 M(IV)=O 单元的亲核攻击。然而,根据金属离子的性质和它们的配位环境,以及 M 的身份,在每一步中转移的质子和电子的数量,以及 OH− 的来源,都会有所不同。这些微妙之处源于不同金属离子的不同氧化还原电位和路易斯酸度,尤其是当它们与不同的配体配位时。
与单原子催化剂相比,双原子催化剂的活性要高得多,这是双金属协同作用的结果,从机理上可以看出这一点。通过桥接过渡分离的分子和固态催化剂,这些双原子催化剂为非均相 OER 电催化剂的基础研究提供了一个有吸引力的平台。

暂无评论
发表评论