01 全文速览
中国科学技术大学龚流柱和安徽大学宋琎团队应用手性氮杂环卡宾和铜配合物协同催化剂体系,成功实现了靛红衍生的α,β-不饱和醛与炔丙基乙酸酯的立体发散性不对称炔丙基化反应,以优秀的收率和立体选择性得到一系列结构多样的手性3,3’-双取代氧化吲哚衍生物。作者可以通过简单地改变手性氮杂环卡宾催化剂与手性铜配合物催化剂的构型组合,实现氮杂环卡宾活化亲核中间体对联烯铜中间体的立体发散性加成,方便地制备出目标产物的所有四个立体异构体,并且均能获得优异的收率和立体选择性。
02 背景介绍
含有多个手性中心的手性化合物广泛存在于复杂天然产物和重要生物活性分子中,而这些手性分子的绝对和相对立体构型往往对它们的生理或药理活性具有极大的影响。近年来,立体发散性不对称催化领域取得了迅速发展,由相同或类似的起始原料出发,通过调节催化条件即可实现多手性中心分子多个(甚至全部)立体异构体的发散性不对称合成。目前,科学家们围绕亲电烯丙基金属中间体,应用有机小分子或路易斯酸配合物活化亲核试剂,利用协同催化策略成功实现了多种类型立体发散性不对称烯丙基化反应 (图1)。但是,目前该领域基于其他类型亲电金属中间体的立体发散性不对称催化合成则鲜有报道。

▲图1 立体发散性不对称催化
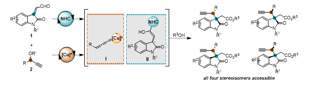
03 研究出发点
中国科学技术大学龚流柱教授课题组长期致力于有机小分子和金属不对称联合催化的研究,首次提出了“金属配合物和手性有机小分子”协同催化的策略(Tetrahedron: Asymmetry 2001, 12, 1567),并先后发展了手性布朗斯特酸/金属、手性双功能有机小分子/金属、手性亲核路易斯碱/金属等联合催化体系 (Acc. Chem. Res. 2014, 47, 2365; J. Am. Chem. Soc. 2022, 144, 2415; Asymmetric Organo-Metal Catalysis: Concepts, Principles, and Applications; Wiley-VCH: Weinheim, Germany, 2021)。近期,该团队在氮杂环卡宾和金属联合催化领域也取得了系列进展(Angew. Chem. Int. Ed. 2022, e202201678; Angew. Chem. Int. Ed. 2021, 60, 3268; ACS Catal. 2021, 11, 14388; Angew. Chem. Int. Ed. 2019, 58, 12190)。在这些前期工作基础上,作者基于立体发散性合成思路,设想能否利用手性氮杂环卡宾和铜配合物协同催化策略,实现靛红衍生的α,β-不饱和醛与炔丙基乙酸酯的立体发散性不对称炔丙基化反应,期望为复杂手性分子的高效精准合成提供方法,并为立体发散性合成研究领域提供新的机遇(图2)。

▲图2 立体发散性不对称炔丙基化反应
04 图文解析
作者以靛红衍生的α,β-不饱和醛1a与炔丙基乙酸酯2a为模板底物,对反应条件进行了筛选(表1)。对手性氮杂环卡宾催化剂的筛选结果表明,化合物4a为最优催化剂(表1, entry 1)。作者接着对手性吡啶双噁唑啉配体进行筛选,发现当使用L3为配体时,该反应的对映选择性可达到99% e.e. (表1, entry 8)。随后,作者对其他反应条件进行了细致筛选,确定了反应的最优条件,能够以77%的收率、>95:5 d.r.的非对映选择性和>99% e.e.的对映选择性得到目标产物(R,R)-3aa (表1, entry 11)。


表1 条件筛选
在最优的反应条件下,作者首先对靛红衍生的α,β-不饱和醛底物的适用范围进行了考察(图3)。结果表明,反应对于不同取代的不饱和醛底物均具有较好的兼容性,所有目标产物均能取得99% e.e.或大于99% e.e.的对映选择性。

▲图3 α,β-不饱和醛底物范围
随后,作者对炔丙基乙酸酯的底物适用范围进行了研究(图4)。结果表明苯环上各种取代的炔丙基乙酸酯都能取得优异的结果,并得到高收率、高立体选择性的炔丙基烷基化产物。此外,萘环或吲哚取代的炔丙基乙酸酯也能顺利参与反应。

▲图4 炔丙基乙酸酯底物范围
随后,作者通过使用手性氮杂环卡宾催化剂4a和手性吡啶双噁唑啉配体(ent-L3)的催化剂组合,成功实现了α,β-不饱和醛1与炔丙基乙酸酯2的非对映选择性炔丙基化反应(图5)。一系列烯醛底物和炔丙基乙酸酯都可以顺利反应,得到最高67%的收率,>95:5 d.r.的非对映选择性和>99% e.e.的对映选择性。

▲图5 非对映选择性炔丙基化反应
随后,作者对立体发散性催化反应进行了研究。通过简单地改变手性氮杂环卡宾催化剂与手性铜配合物催化剂的构型组合,可方便地制备出目标产物的所有四个立体异构体,均能获得较高的收率和优异的立体选择性 (图6)。

▲图6 立体发散性合成
作者接着对该协同催化炔丙基化反应的机理进行了初步的研究(图7a与7b)。机理实验表明,在手性氮杂环卡宾活化的亲核中间体对联烯铜中间体的立体选择性加成过程中,手性氮杂环卡宾仅作为有机小分子催化剂参与反应过程。在此基础上,作者提出了可能的催化循环机理(图7c):手性铜配合物催化剂和炔丙基乙酸酯反应形成的联烯铜中间体II与高烯醇中间体IV(或III)发生不对称炔丙基化反应,最后经醇解得到目标产物(R,R)-3aa。其中,手性氮杂环卡宾催化剂和手性铜配合物催化剂在炔丙基烷基化过程中协同作用,能够分别对产物中每个手性中心进行独立控制,成功实现立体发散性合成。

▲图7 机理实验
作者还进行了一系列的衍生化实验进一步证实了该反应的实用性(图8)。其中,炔丙基化产物3aa及3ao可以进行多种类型转化获得一系列手性3,3’-双取代氧化吲哚衍生物。作者从α,β-不饱和醛1n与炔丙基乙酸酯2q出发,经过几步简单的转化即可得到天然产物(-)-perophoramidine的合成关键中间体12。

▲图8 衍生化实验
05 总结与展望
龚流柱和宋琎团队利用手性氮杂环卡宾和金属铜配合物协同催化策略,高效、高立体选择性地实现了α,β-不饱和醛和炔丙基乙酸酯的立体发散性不对称炔丙基化反应,为手性3,3-双取代氧化吲哚衍生物的高效不对称合成提供了一种简便方法。同时,该策略首次应用手性联烯铜中间体实现了立体发散性不对称合成,将为立体发散性合成研究领域提供新的机遇。
原文链接: https://www.nature.com/articles/s41467-022-29059-0

暂无评论
发表评论