研究背景
多肽自组装成一维纳米结构在过去几十年中引起了极大的兴趣,因为它们在生物医学、催化、传感和光学方面有着广阔的应用前景。控制这些自组装一维纳米结构的排列可以进一步提高其应用性能。例如,Gazit等人和Park等人证明了通过物理气相沉积或溶剂气相退火将二苯丙氨酸肽组装成纳米阵列,可用于制造发电的纳米器件、电化学传感、光学和合成模板。这在组织工程中有着很好的应用前景。
手性是肽自组装的基本结构特征之一。迄今为止,具有独特化学和物理功能的多肽可以组装多种手性纳米结构。近年来,通过对非晶态肽膜进行水蒸气退火,简单的二肽或三肽可以自组装成长程有序纳米螺旋阵列,这在手性光学和催化领域显示了巨大的应用前景。然而,这种功能性长程有序手性纳米结构的形成机制尚不清楚。在晶体生长过程中控制拓扑缺陷(位错、晶界等)已被用于合成长程有序扭曲结构。最近,Kahr等人证明,在有机晶体中加入分子添加剂会导致几何障碍和带状球晶的形成,这表明拓扑效应对有机分子的手性自组装有很大影响。

1全文概括●
多肽自组装成高度有序的手性纳米结构在光学、传感、生物医学和模板合成等领域有着巨大的潜在应用。然而,多肽自组装过程中的手性放大和自发有序化的详细机制仍在很大程度上未被探索。作者在这项工作中证明了长程有序肽手性纳米结构的形成可以归因于拓扑诱导的相变,即从高度结晶结构到具有向列相有序的高度扭曲纳米结构。
使用Fc-LFLF肽和S-2-甲基哌嗪(S-MP)作为模型系统研究了两种组分在不同摩尔比(χ=Cdiamine/Cpeptide)和水蒸气温度(T)下在受限膜内的共组装。当χ=0.5时,这与Fc-LFLF和S-MP单晶结构中的摩尔比一致,含有Fc-LFLF和S-MP的非晶薄膜在水蒸气退火处理后将迅速转变为取向的大微晶。
但是,如果χ在自组装膜范围内不是0.5,肽膜表面将自发形成长程有序的分层螺旋阵列,而不是晶体。此外,通过控制χ和T,可以精确地控制肽膜的相行为和手性,从而形成大面积的垂直排列的螺旋阵列或向列型手性纳米纤维,其超分子手性相反。分子动力学模拟进一步表明,明确的手性纳米结构的形成及其手性反转与组装体内部的拓扑缺陷密切相关。
2文章亮点●
1. 作者通过对简单二肽和手性二胺在受限膜内的共组装进行拓扑控制,可以精确地控制超分子结构。
2. 作者发现当两种组分的摩尔比(χ=Cdiamine/Cpeptide)为0.5时,肽和二胺可以共组装成定向微晶。通过改变χ值会在自组装过程中产生拓扑缺陷。这将导致手性放大,并形成具有受控相行为的长程有序纳米螺旋阵列。
3.作者证实了通过拓扑控制可以进一步逆转右手或左手纳米螺旋的形成,而无需改变肽的手性。
4. 作者的研究为肽的手性自组装提供了新的见解,为制备高度有序的功能材料提供了一种简便的策略。
3图文速览●

图1. a)基于肽和手性二胺自组装的拓扑缺陷诱导的相变和手性反转示意图。根据Fc-LFLF和S-MP的单晶结构(灰色:碳,红色:氧,蓝色:氮,白色:氢,黄色:铁)确定了分子结构和堆积模型。b-g)不同比例Fc-LFLF和S-MP的肽膜的SEM和POM图像: B,e) χ = 0.31, c,f) 0.5, d,g) 1,经水蒸气退火1 h (χ= 0.31)或12 h (χ = 0.5和1.0)后。

图2. SEM图像显示了不同摩尔比(χ)下含有Fc-DFDF和R-MP的非晶态多肽膜水蒸气退火12 h后的结构。a,b)χ= 0.31, c,d)χ= 0.5, e,f)χ= 1。肽浓度CD为190 × 10−3 M。(a) - (d)的SEM图像为侧视图,(e) - (f)的SEM图像为俯视图。

图3. 在不同的χ值下孵育12 h后的多肽膜, a、b) CD光谱,c)紫外/可见光谱,d) x射线粉末衍射图。

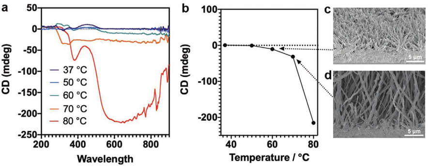
图4. a) CD光谱和b) 650 nm处的CD强度随温度的变化。c,d)分别在60°C和70°C孵育12 h后肽膜结构的SEM图像。

图5. Fc-LFLF手性自组装的相图与χ和T的关系。右填充的圆对应垂直排列的(R)纳米螺旋阵列;左填充圆对应于平行排列的(L)纳米螺旋阵列;红色星形代表短纳米螺旋,没有长程有序;黑色方块代表大的微晶体,蓝色填充的圆圈代表非晶态薄膜。

图6. a、b)分别为a)模型I和b)模型II的初始包装结构。为了突出手性二胺的位置,在球棒模型中显示肽,在CPK模型中显示S-MP分子。黄色箭头表示由于去除二胺而产生的拓扑缺陷。c)模型Ⅰ的MDS结果: 表示计算0、10和20 ns后结构的中断。d)模型II的MDS结果: 显示在0、10和20 ns的计算后,四股左旋β片自发扭成右旋束或纳米螺旋。

图7. a)χ≈0.31,b)χ≈0.5,c)χ= 1时Fc-LFLF和S-MP的初始堆积结构。d-f) 40 ns MD模拟Fc-LFLF和S-MP的最终结构,d) χ≈0.31,e) χ≈0.5,f) χ= 1。g-i) Fc-LFLF和S-MP之间形成氢键, 当g) χ≈0.31,h) χ≈0.5,i) χ = 1时。j-l) Fc-LFLF和S-MP表面,J) χ≈0.31,k) χ≈0.5,l) χ = 1。负的区域是红色的,正的区域是蓝色的。

方案1. 拓扑诱导的多肽组装体的相变和手性反转的示意图。
结论
作者报道了宏观排列的肽纳米螺旋阵列的自组装可以归因于拓扑诱导的相变从大晶体到具有“向列”顺序的扭曲纳米螺旋。当χ= 0.5时,含有肽和二胺的非晶态膜在高温水蒸气退火后会自发地转变成排列的微晶体。在χ < 0.5或>0 .5处,通过诱导拓扑缺陷,肽和二胺的结晶过程中不会形成微晶体,但会形成长程有序的纳米螺旋阵列。
此外,组装好的纳米螺旋的手性可以通过改变拓扑缺陷来进一步反转,而不需要改变分子构件的手性。这些结果为手性多肽的自组装提供了新的视角,并为高有序功能纳米结构的制造提供了一个有前景的策略。

暂无评论
发表评论