
第一作者:Sae Young Han.
通讯作者:Colin Nuckolls, and Ren A. Wiscons.
通讯单位:Department of Chemistry, Columbia University, New York, New York 10027, United States.
论文DOI: https://doi.org/10.1021/jacs.2c01650.
研究背景
设计手性发色团的一个重要指标是将其吸收和发射放大化。然而,为了使手性光学应用具有实际意义,它们还必须在宽波长范围内吸收或发射手性光。激发态之间的电子耦合,可以增强了手性光学响应的强度。
通过缩小操作手性光学响应窗口,可以降低功能性手性吸收的效用。螺旋π-系统中发色团之间的对称性破坏会抑制这种耦合,从而发现螺旋烯优先吸收整个可见光谱中的单手性光。
这一发现开启了一条以材料设计为中心的研究之路,该材料可以在宽波长范围内控制吸收和发射光的手性,用于手性滤光片、偏振器、传感器和开关的应用。

文章亮点
1. 作者研究了一系列螺旋烯的分子对称性和宽带手性吸光度之间的相互作用。
2. 作者发现含有两个不同生色团的不对称螺旋烯比对称螺旋烯在更宽的波长范围内吸收手性光。
3. 作者指出化学还原螺旋烯将ECD光谱的吸收边缘转移到近红外波长范围,同时保留广泛的手性吸收,产生螺旋烯,在整个可见波长范围内吸收单手性光。
4. 作者将实验吸收光谱和DFT计算相结合,证明通过降低分子的对称性来消除发色团之间的简并可以消除双信号特征。
全文概括
对具有功能相关手性光学性质的材料的持续发展有两个主要标准:比较大的ECD和可见光范围内的宽吸收。
作者通过结合实验吸收光谱和DFT计算,表明通过降低分子的对称性来消除发色团之间的简并可以消除双信号特征。
作者合成了不对称的1-2螺旋烯,发现还原态表现出单手圆偏振光在375到925nm范围内的广泛吸收。
此外,减少螺旋烯是导致带边红移到近红外而不引入零交叉的原因。这项研究为进一步探究不对称螺环化合物奠定了基础,从而实现了新型手性电子和光电子材料的广泛手性吸收。
图文速读

图1.(A)相同生色团的简并激发态(S1)之间的耦合导致能量分裂。(B)去除发色团的电子等效性(以红色和蓝色表示)会产生非简并激发态,从而阻止耦合。(C)ECD信号中的双信号特征(Δε)由图1A所示的激发态之间的耦合产生。(D)由于图1B中生色团的电子等效性消失导致的双信号特征消失。

图2.(A)1-1、1-2和2-2螺旋烯分子结构,其中R=CH(C5H11)2和R′=n-C4H9。(B)1-2和(C)2-2螺旋烯的几何形状存在于相应外消旋体的晶体结构中。为了清楚起见,省略了R和R′烷基链。分子区域被着色,以突出螺旋烯核的芳香环为富电子(红色)或缺电子(蓝色)。

图3.(A)1-1,(B)2-2和(C)1-2螺旋烯的ECD(红色、黄色、橙色线条)和UV−可见光谱(黑线和灰色填充);ECD谱线厚度的差异对应于两种不同的螺旋烯极性(即M和P)。(B)插图突出了2-2 ECD光谱吸收边缘的弱双信号特征。

图4. 计算了(A)1-2,(B)1-1和(C)2-2螺旋烯的前线分子轨道的空间分布。红色和蓝色代表轨道相位的变化。对于1-1和2-2,每个前沿轨道基本上都是双重简并的。

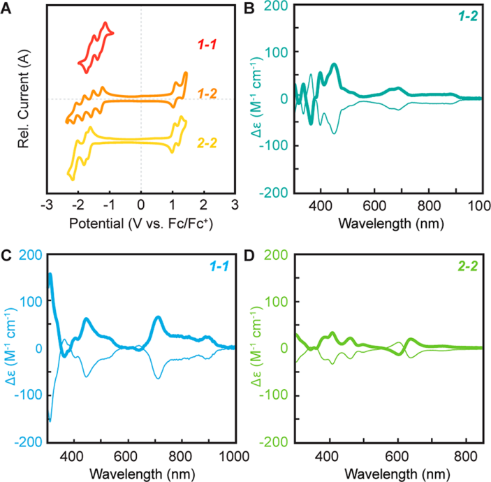
图5.(A)1-1(红色,顶部)、1-2(橙色,中间)和2-2(黄色,底部)与Fc/Fc+的循环伏安图。还原(B)1-2,(C)1-1和(D)2-2螺旋烯的ECD光谱。
结论与展望
在宽波长范围内吸收或发射手性光对于手性材料的光学应用具有十分重要的意义。作者对一系列螺旋烯的分子对称性和宽带手性吸光度之间的相互作用进行研究。
结果显示:不对称螺旋烯比对称螺旋烯在更宽的波长范围内吸收手性光。化学还原螺旋烯将ECD光谱的吸收边缘转移到近红外波长范围,同时保留广泛的手性吸收,在整个可见波长范围内吸收单手性光。
最后,作者证明了螺旋系统中发色团之间的对称性破坏会抑制这种耦合。这一研究将推动手性材料的设计,并促进手性材料在光学方面的广泛应用。

暂无评论
发表评论