01引言
中国空间站是中华人民共和国建设中的一个空间站系统,在2022年前后将完后它的建设工作。为了进行较大规模的空间应用,空间站有着400-450千米的轨道高度,倾角能达到42-43度,可以效力于航天事业长达十年之久,长期驻留3人,总重量达到180吨 [1] 。中国空间站的五个模块如下图1所示,天和核心舱处于中心位置,梦天实验舱、问天实验舱如雄鹰的翅膀位于核心舱两侧,载人飞船(即 “神舟”飞船)和货运飞船(即“天舟”飞船)对接在核心舱的两端,各飞行器不但具备独立的飞行能力,而且可以按照操作在空间内进行调节,与核心舱组成多种形态的结合体,形成以核心舱为中心,其他模块间相互合作,目的在于更快更出色的完成各项任务。

图1.中国空间站(图片来源于新浪科技)
中国空间站的建设对国家具有重大的战略意义,直接带动整个航天科技产业链相关的科学技术进步。与此同时,也为有朝一日人类能移民外太空积累科学基础和经验。更重要的意义是可以利用稀缺的空间资源进行太空未知环境探索和相关前沿科学研究,为以后人类的发展积累丰富的经验,中国空间站会给科研人员的太空研究提供最大的便利,提供更丰富更有价值的信息[2]。
2、各模块的简介及作用
核心舱:
“天和”核心舱高16.6米,最大直径4.2米,发射质量22.5吨,它的三个部分分别是生活控制舱、资源舱、节点舱。空间站的控制、通信和供配电均由它来执行,可谓是空间站的“大脑”。

图2.天和核心舱(图片来源于视觉中国)
核心舱作为“大脑”,自然结构非常复杂,如图2呈现出来的一样,通过它的接口可以对接其它飞船,它的主要任务是为航天员提供工作生活空间,用水和氧气供应。为了保障航天员每天的生活和健康,舱内设计了就餐区、医监医保区、卫生区、锻炼区和三个睡眠区,使航天员能在太空停留更久的时间[3],它的发射正式开启了中国“天宫”空间站的建设。
实验舱:
问天实验舱总长17.9米,直径4.2米,发射重量达23吨,舱内配备了卧室、厨房和方便“出门溜达”的气闸舱,这些配置使航天员住得更加舒服[4],“体型”可以用一节地铁车厢比拟,在全世界现役飞行器中,它是在轨最重的单舱主动飞行器。问天实验舱由工作舱、气闸舱和资源舱三个主要部分组成,舱外还装有机械臂[5]。虽然没有像天和的机械臂那么大,但它有两个特点,一是精度更高,二是可以自动安装舱外载荷。此外,问天机械臂和天和机械臂也“合体”,组成一个长 15 米的大机械臂,能够触达空间站的任何地方,相当震撼。随着问天实验舱到达指定位置后,空间站就能接受6名航天员长期驻留和开展工作。如果出现天和核心舱无法工作的情况,那么问天实验舱就会接管空间站。如果有紧急状况,它还能安排航天员舱内避险。

图3.问天实验舱(图片来源于璀璨科学)
梦天实验舱全长17.88米 ,直径4.2米,工作舱、资源舱、货物气闸舱和载荷舱组成它庞大的构型,有着超过32立方米的工作与活动空间[6]。同时,梦天实验舱可以开展各种各样的科学实验和技术试验,为顺利实验提供平台。提及梦天实验舱最厉害的设计之处,是配备一个仪器专用的自动化通道——货物气闸舱,能支持货物自动进出舱,出舱后的货物由机械臂运送到目的地,不需要航天员亲自出舱就可以完成搬运任务,解决了以前货物搬运进出空间站耗费人力、物力的问题[7]。

图4.梦天实验舱(图片来源于百度百科)
随着梦天实验舱成功升空,完成了与天和核心舱的对接工作,又与问天实验舱共同形成了“T”字基本结构。空间站核心舱主要的任务是控制它的结合体,梦天实验舱以应用实验任务为主,而问天实验舱囊括二者的功能,并对核心舱平台功能予以备份和增强。
货运飞船:
货运飞船是由货物舱和推进舱组成的两舱构型,货物舱前锥段及柱段为密封段,后锥段为非密封段,推进舱为柱状构形的非密封金属结构(图5),货运飞船是空间站的地面后勤保障系统。

图5. 货运飞船构型[8]
货运飞船是为空间站服务的,旨在通过运输食物、推进剂和其他物资来支持空间站的建造与运行,并携带空间站重要货物返回地面[9]。此外,如图6所展现的一样,货运飞船采用模块化、通用化、组合形式的设计方案,随着关键技术的不断突破与优化,货运飞船由全密封、半开放、全开放的模式转变,形成多种多样的货运飞船型谱,解决了未来空间站舱内、舱外货物特别是大型货物上行的难题[10]。

图6. 天舟货运飞船型谱[8]
载人飞船
载人飞船也就是人们口中常说的神舟号系列飞船,从1999年11月20日成功发射神舟一号到2022年11月29日成功发射神舟十五号载人飞船以来,我国已成功发射了数十艘神舟系列的飞船,硕果累累。神舟飞船的结构采用三舱一段,其中三舱由轨道舱、返回舱、推进舱组成,一段也就是常在媒体上听到的附加段,三舱总长度能达到8米,圆柱段内侧直径2.5米,锥段最大直径能达到2.8米,总质量为7755千克,它是我国科学家费心尽力自主研制的成果,同时也是具有完全自主知识产权的空间载人飞船[11]。

图7. 神舟飞船结构示意图(图片来源于知乎)
“神舟”飞船的轨道舱形似圆柱体,总长度达到2.8米,最大直径为2.27米,轨道舱上存在两个端口,一个端口与返回舱贯通,另一个端口与空间对接机构连接,轨道舱集工作、吃饭、睡觉和清洁等诸多功能于一体,便捷的同时带有舒适的环境,故有“多功能厅”的美誉。返回舱完成分配的任务并返回地面以后,轨道舱充当一颗地球观测卫星或空间实验室的角色,它将在轨道上继续工作半年左右,这也是我们国家的航天器留轨利用的一大特色。与俄罗斯和美国的航天器不同,它们国家的轨道舱和返回舱在分离后一般被废弃。
神舟系列载人飞船由我们国家的科研人员研制的长征二号F火箭发射升空,发射基地位于素有 “东风航天城”之称的酒泉卫星发射中心,内蒙古中部的乌兰察布市四子王旗航天着陆场和东风着陆场作为回收地点[12]。神舟系列载人飞船成功发射提升了我国在世界的国际地位和国际影响力,标志这我国跻身进入太空俱乐部,和发达国家的科技技术差距不断缩小,为实现中国梦不断努力奋斗。
3、为何神舟十二号载人飞船银光闪闪?
每次目睹神舟号系列飞船缓缓升空,内心无比的自豪,与之前神舟系列飞船灰色格调的“外衣”相比,神舟十二号载人飞船一身银闪闪惊艳亮相,不禁会发出思考,这层亮丽的“外衣”究竟是什么呢?没错,这件“外衣”就是由航天科技集团五院529厂历时两年,耗费心血研制的一款新型低吸收-低发射热控涂层,通俗一点来说是喷涂在航天器外表面的热控制材料,如图8是喷涂后处于转运阶段的神舟十二号载人飞船,喷涂热控制材料以后有对太阳光照辐照的低吸收、强反射能力,可以大幅度减小因飞船受太阳长时间辐照而出现里面空间温度持续升温的现象,之后凭借极低的红外发射优势,在飞船处于太阳背面时减少辐射漏热,使舱内温度下降速率降低,起到保持恒定温度的效果。

图8. 转运阶段的神舟十二号载人飞船(图片来源于新京报)
此外,很多人好奇在飞船发射时为了保证安全,航天员的身体会被牢牢束缚在座椅上,身体不能前倾以完成对仪表盘上各设备的有效运行,那么他们是怎么样完成仪表盘的操作的呢?其实为解决这一难题,操纵棒发挥了很大的作用,操纵棒把手是根据宇航员整个手掌正常抓握状态下设计的,非常的人性化,外部轮廓曲面可以完美贴合宇航员的手指和手心,使宇航员在操作过程中很舒适度的完成相关操作,它的杆体采用高强度碳纤维材料,碳纤维是一类由含碳量在90%以上的高强度高模量纤维组成的新型纤维材料(图9所示),相对于传统纤维,该纤维具有更高的强度和更高的刚度,在多个领域具有潜在应用价值。

图9. 碳纤维材料示意图(图片来源于百度百科)
4、火箭发射升空所需的燃料是什么?
第二节末的内容中讲到神舟系列载人飞船由我们国家的科研人员研制的长征二号F火箭发射升空,那么火箭发射升空所用的燃料是什么呢?仔细阅读过相关书籍的朋友都知道,现在的火箭主要运用液氧煤油燃料、液氢液氧燃料、液氧甲烷燃料、偏二甲肼燃料和固体燃料,比如美国的猎鹰火箭、韩国的世界号,使用液氧煤油燃料发射升空,俄罗斯的火箭也以液氧煤油为主。印度制造的的火箭使用偏二甲肼燃料、液氢液氧燃料和固体燃料,其中偏二甲肼燃料是剧毒的,如图10所示为偏二甲肼的结构式,它对人有毒害作用。其实不然,我国研制的长征二号F火箭也使用偏二甲肼燃料,像神舟飞船、俄罗斯的联盟号飞船、国际空间站、中国的空间站以及其他飞船也都会用肼类剧毒的燃料。

图10 偏二甲肼结构式(图片来源于百度百科)
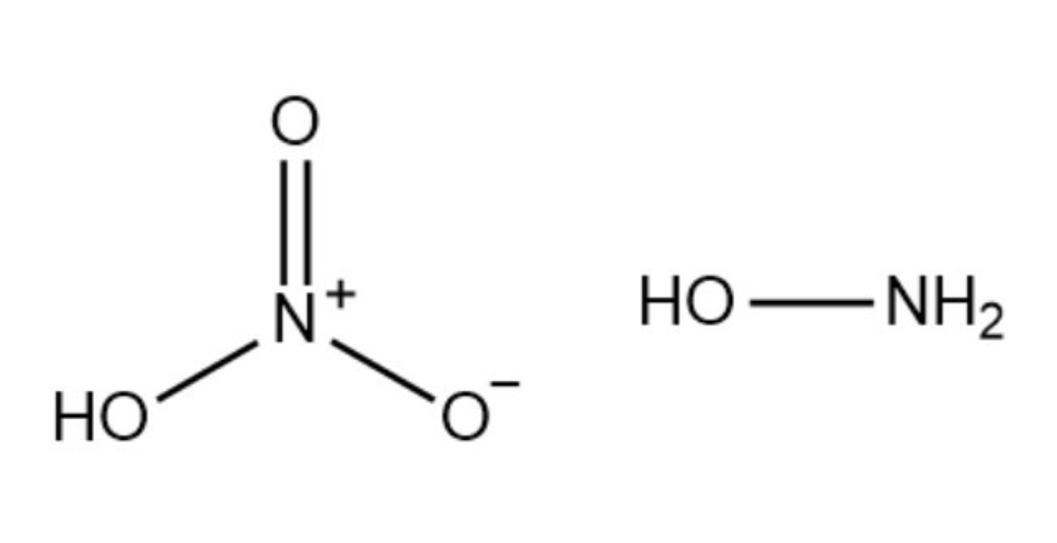
或许有的人开始疑惑了,有毒为什么还要采用它做燃料呢?换句话说,飞船和空间站很少用液氧煤油和液氢液氧燃料,因为低温状态下保存的液氧或液氢不适合长期储存。就算想实现长期储存,对贮存箱和管路的要求普遍高,这样成本上就成了一个问题,所以多数飞船和空间站都使用比较稳定、可以低压保存的肼类燃料。我国的多次实践证明,只要操作合理,正常使用还是比较安全的。但是,人类的探索欲是无限的,不满足于现有的这种剧毒燃料,肯定会朝着安全环保的燃料进发。中国的新一代载人飞船就使用了硝酸羟胺燃料,图11是硝酸羟胺的概述图,也可以称呼为HAN燃料,这类燃料优点颇多,优点一是比肼类燃料便宜、稳定、易存储,优点二是无毒性、无污染、密度很高、冰点很低,优点三是比冲还比肼类燃料高,可以说是一种理想的飞船燃料,相信在不久的未来会演变成为一种主流燃料[13]。

图11. 硝酸羟胺的概述图(图片来源于百度百科)
5、中国空间站演示的有趣的化学小实验
实验一水油分离实验,日常中我们接触过油和水,由于水和油是不相溶液体,是两个相,在我们生活的有重力的环境中,水和油是分开的,分为两层。但在太空失重的环境中,水和油呈现某种混合状态。如果在太空也想让水和油分离咋办?这可以通过制造人工重力来实现分层,简单可行的办法就是让物体旋转起来。比如,放在离心机当中就可以实现,甚至用手用力甩一下也能短暂达到想要的效果,正如图12中宇航员叶光富演示的那样,水和油就分离了[14]。

图12. 在离心机中很容易产生人工重力,实现水油分离(图片来源于太空研究所)
实验二液桥实验,水等其他液体有一种使表面尽可能缩小的力,这种力称为"表面张力"。清晨凝聚在小草上的水滴、就是在水的表面张力作用下形成的一种现象。河水中经常看见一些小昆虫能站在水面上游刃有余,甚是好奇,这也是由于表面张力的表现形式。此外,在两块塑料板之间倒入适量的水,在太空失重的状态下,表面张力就起了主导作用,甚至像图13右图那样分开一定距离也不断裂。而在图13左图地面上实验员做同样的实验,在重力的作用下,液桥很容易断裂,形成了鲜明的对比,让我们更加直观的看到这一变化。

图13.左图为地面开展液桥实验,右图为实验舱开展液桥实验(图片来源于太空研究所)
实验三结晶实验,主要演示失重状态下的饱和液体结晶现象,天宫课堂演示所用的溶液是过饱和乙酸钠,过饱和乙酸钠溶液在外界提供结晶核的情况下极其不稳定,很容易析出晶体,所以从图14的左右图对比就可以看到过饱和乙酸钠液滴从一个晶莹剔透的小水球变成白色的小雪球。

图14.左图为透明的过饱和乙酸钠溶液,右图受到外界提供结晶核,析出晶体后的溶液(图片来源于太空研究所)
科学无处不在,有趣的小实验给更多的人带来了欢乐,同时也学到了空间站里的现象与地面上现象的反常之处,精彩的实验演示给更多需要的人带来了福音。学无止境,通过一组组的对照实验,人们更加明了的学习其中的奥妙,相信未来会有更多丰富的空间小实验呈现在大众面前,让我们拭目以待。
6、结语
随着中国空间站在轨建造任务的顺利完成,中国航天事业的发展迎来一个机遇众多的时期,不同批次的航天员在太空开展更深层次的空间科学研究,将更多未知的事物展现在人们面前。航天员探索太空离不开空间站的支撑,回首望去这些年中国空间站赢得的荣誉,离不开每一位中国载人航天工作者的稳扎稳打,拼搏上进,不断创新。在过去的30 年中,中国载人航天事业可谓从无到有,从弱到强,一点一滴都是数不清的科研工作者默默付出换来的成果,希望中国航天事业越来越好,越战越勇。

暂无评论
发表评论